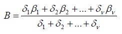
PHP script που υπολογίζει τον τελικό Βαθμό Πτυχίου βάσει του τύπου:

Το script είναι για το τμήμα Μηχανικών Πληροφορικής Τ.Ε. του Τ.Ε.Ι. Στερεάς Ελλάδας και αφορά το πλέον παλαιό πρόγραμμα σπουδών (πριν το 2015).
| Name | Name | Last commit date | ||
|---|---|---|---|---|
PHP script που υπολογίζει τον τελικό Βαθμό Πτυχίου βάσει του τύπου:

Το script είναι για το τμήμα Μηχανικών Πληροφορικής Τ.Ε. του Τ.Ε.Ι. Στερεάς Ελλάδας και αφορά το πλέον παλαιό πρόγραμμα σπουδών (πριν το 2015).